9-2. Unsteady configurations

Leading edge flow quality sensitive to rotor blade angle of attack variations

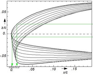
Blades with cyclic nose droop for improved helicopter rotor design

 

Separation reduction by airfoil nose droop in flow with high angle of attack

Nose droop plus local surface flattening near leading edge avoid shock-induced separation

Delay of separation onset by leading edge modification

Experimental setup for nose droop concept verification

 

2015