6-1. Analytical shock models

Relations to analyze and to model shocks in compressible flow

Transonic limits and numerical modeling

 

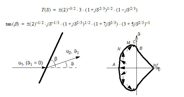
Oblique shock relations:

Analytical models in transsonic flow

Shock polar diagram

Relations between M1, M2, beta, theta

Detached bow wave:

Asymptotic behavior with Mach -> 1

Numerical simulation of a bow wave

2015