2-1. Functions, curves and motions

Explicit analytical function catalog in 2 dimensions

Composition to model arbitrary curves with controlled curvature or singular behavior at the support points

Extension for shape variations to model unsteady boundary conditions or series of shapes.

 

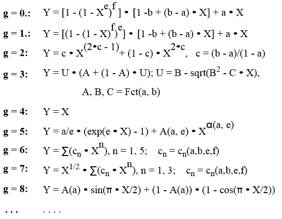
A function within the unit square

Sample functions to fit within unit square

Scaling of unit squares and combination to model arbitrary curves with gradient / curvature control at the nodes P

Variation of curves using an additional variable (e. g. time)